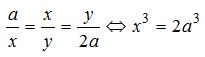
A duplicação do cubo surge associada a uma lenda. Conta-se que a ilha de Delos foi assolada por uma peste. De forma a combater a peste, o oráculo propôs aos habitantes da ilha que fosse construído um altar com o volume duplo do altar que existia em forma cúbica. Supuseram que se duplicassem a aresta do altar teriam o problema resolvido. No entanto, ficaram espantados quando, efetivamente, obtiveram um altar cujo volume era oito vezes o volume do altar existente. Pensa-se que foi Hipócrates de Quios que deu os primeiros passos no sentido da tentativa de resolução do problema da duplicação do cubo. Este geómetra reduziu o problema a um outro – encontrar dois meios proporcionais entre dois segmentos dados. Seja a a aresta do cubo dado. Procura-se x e y tal que

Duplicação do Cubo

Solução atribuída a Platão


Platão

Justificação


Considerem-se duas linhas retas BC e AB perpendiculares entre si, entre as quais se quer encontrar os dois meios proporcionais. Designe-se BC = a (aresta do cubo a duplicar) e AB = 2a. Sejam os triângulos EDC e AED, retos, respetivamente, em D e E de forma a que ED seja comum. Considere-se ainda que as hipotenusas AD e EC se intersetam perpendicularmente em B.


Duplicação do Cubo

Os triângulos BDC, AEB e BED são semelhantes entre si, visto que os ângulos BDC e BAE são geometricamente iguais, bem como os ângulos BAE e BED, portanto,

Duplicação do Cubo

Logo, BD e BE são os dois meios proporcionais entre a e 2a, sendo BD a aresta do cubo cujo volume é duplo do volume do cubo de aresta a.


Solução de Eratóstenes


Duplicação do Cubo

Justificação


Duplicação do Cubo


Creative Commons - Atribuição-NãoComercial 4.0 Internacional.